

ABSTRACT
We consider the reasons why a monopoly multi-sided platform may price differently from a social planner. The existing literature has focused only on the classical market power distortion and a distortion in the spirit of Spence. We show two additional distortions appear in the presence of cross-group network effects, which we call the displacement distortion and the scale distortion. We show conditions under which the displacement distortion exactly offsets the Spence distortion, and provide an example in which the total of these different distortions results in monopoly prices per user that are lower than the social planner’s on both sides. Our results have implications for regulatory policy, which we briefly discuss.
KEYWORDS
Two-sided markets, Monopoly, Network effects; Spence distortion; Regulation
JEL CLASSIFICATION
D42; E85; L14
International Journal of Industrial Organization
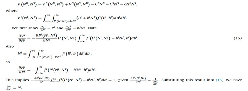
https://www.sciencedirect.com/science/article/pii/S0167718721000254